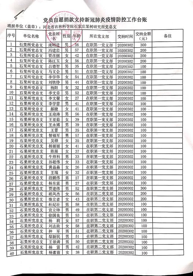
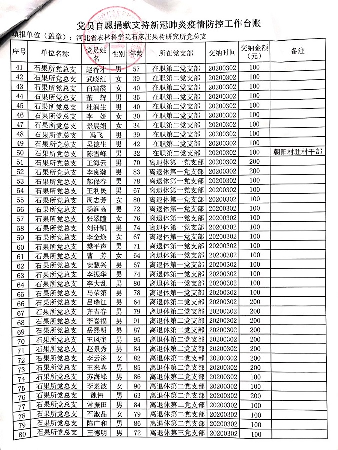
您所在的位置:首页 > 工作动态 为支持全国疫情防控工作,响应上级党组织号召,根据院直属机关党委《关于组织党员自愿捐款支持新冠肺炎疫情防控工作的通知》精神,石果所党总支积极组织开展党员自愿捐款活动,截至2020年3月3日,我所共有包括在职支部、离退休支部在内的95名党员捐款,合计金额11450元。



地址:河北省石家庄市长安区学府路5号 邮编:050061
电话:0311-87659900 传真:0311-87659908 E_Mail:nkysgs@sina.cn
冀ICP备20006635号-1
CopyRight ©河北省农林科学院石家庄果树研究所 All Rights Reserved 技术支持:指南针网络